Questão
Escola Naval - EN
2022
VER HISTÓRICO DE RESPOSTAS
4000061843
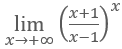
Assinale a opção que apresenta o valor de
.
A
1
B
e⁻¹
C
e
D
e²
E
0
Responder
Ver solução e comentários