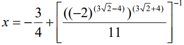
é o nome de uma corrida realizada na distância oficial de 42,195 km, normalmente em ruas e estradas. Única modalidade esportiva que se originou de uma lenda, seu nome foi instituído como uma homenagem à antiga lenda grega do soldado ateniense Fidípides, um mensageiro do exército de Atenas, que teria corrido cerca de 40 km entre o campo de batalha de Maratona até Atenas para anunciar aos cidadãos da cidade a vitória dos exércitos atenienses contra os persas e morreu de exaustão, após cumprir a missão. Sabendo-se que em certa maratona o tempo gasto pelo 1°lugar foi de x horas, onde x é dado pela expressão
,então podemos afirmar que:

,então podemos afirmar que:

+ x é um número composto
– 2 é um quadrado perfeito