Questão
Simulado EsPCEx
2021
VER HISTÓRICO DE RESPOSTAS
4000023213
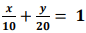
A distância entre os pontos de intersecção da reta
com a circunferência x² + y² = 400 é:
A
3√3
B
4√3
C
4√5
D
16√5
E
5√7
Responder
Ver solução e comentários