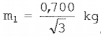
Na figura abaixo, uma corda inextensível ABC (densidade linear igual a 20,0g/m) tem uma extremidade presa na parede e, depois de passar por uma polia ideal, é tracionada por uma pequena esfera metálica (1), que possui massa
e carga elétrica
. Outra pequena esfera metálica (2), de mesmo raio, está presa na base do plano inclinado, possuindo massa m2 = 0,500 kg e carga elétrica
. Sabe-se que: a distância entre os centros das esferas é de 10,0 cm, o meio entre as esferas possui constante eletrostática K= 9,0.109 N.m²/C² e o trecho AB da corda, de comprimento igual a 50,0 cm, vibra num padrão de onda estacionária de frequência igual a 100 Hz. O harmônico correspondente é o

e carga elétrica
. Outra pequena esfera metálica (2), de mesmo raio, está presa na base do plano inclinado, possuindo massa m2 = 0,500 kg e carga elétrica
. Sabe-se que: a distância entre os centros das esferas é de 10,0 cm, o meio entre as esferas possui constante eletrostática K= 9,0.109 N.m²/C² e o trecho AB da corda, de comprimento igual a 50,0 cm, vibra num padrão de onda estacionária de frequência igual a 100 Hz. O harmônico correspondente é o