Questão
Escola Naval - EN
2016
VER HISTÓRICO DE RESPOSTAS
4000001852
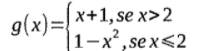
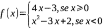
Sejam f e g funções reais definidas por
e
Sendo assim, pode-se dizer que (f o g) (x) é definida por
A
B
C
D
E
Responder
Ver solução e comentários