Questão
Simulado EsPCEx
2021
VER HISTÓRICO DE RESPOSTAS
4000024360
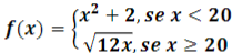
Seja f(x): ℝ→ℝ tal que:
Determine a soma dos algarismos de f(f(f(5))).
A
9
B
10
C
11
D
12
E
13
Responder
Ver solução e comentários