Questão
Sprint CN
2023
VER HISTÓRICO DE RESPOSTAS
4000097599
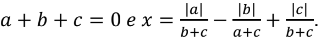
Sabendo que
de forma que
O valor de x²⁰²³-2023x+2023.
A
4045.
B
4044.
C
4043.
D
4042.
E
4040.
Responder
Ver solução e comentários