Questão
Simulado EFOMM
2021
VER HISTÓRICO DE RESPOSTAS
4000015925
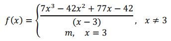
Para que a função 𝑓 descrita abaixo seja contínua para todo valor real de 𝑥, qual será o valor de 𝑚?
A
12
B
13
C
14
D
15
E
16
Responder
Ver solução e comentários