Questão
Escola de Formação de Oficiais da Marinha Mercante - EFOMM
2003
VER HISTÓRICO DE RESPOSTAS
4000051805
Determine o valor de x na equação:
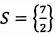
A
B
C
D
S = {13}
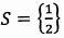
E
S ={2}
Responder
Ver solução e comentários