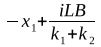
O Desenho I representa um fio condutor retilíneo homogêneo, horizontal e de comprimento L percorrido por uma corrente elétrica i . O centro de massa do fio está conectado a molas ideais e verticais M1 e M2. A mola M1 está conectada ao teto, e M2, ao solo, conforme indicado no Desenho I. O sistema encontra-se em equilíbrio estático. As molas M1 e M2 estão, respectivamente, com um aumento e uma diminuição, de módulo igual a x₀, em seu comprimento natural. Em seguida, todo o fio condutor fica imerso em um campo magnético uniforme de intensidade B, conforme representado no Desenho Il. O sistema atinge um novo equilíbrio estático, com o fio na horizontal e M1 e M2 sofrendo, respectivamente, uma diminuição e um aumento, de módulo igual a x₁, em seu comprimento natural. Podemos afirmar que x₀ é igual a:

Dados: M1 e M2 têm constante elástica, respectivamente, igual a k₁ e k₂ (
representa o vetor campo magnético
que é perpendicular ao plano do papel e está saindo dele; e o fio condutor está no plano do papel.
representa o vetor campo magnético
que é perpendicular ao plano do papel e está saindo dele; e o fio condutor está no plano do papel.




