Questão
Simulado EPCAR
2023
VER HISTÓRICO DE RESPOSTAS
4000083248
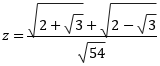
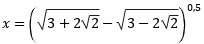
Considere os números x, y e z a seguir:
Assim, marque a alternativa que relaciona corretamente os números x, y e z:
A
x+y+z=0
B
C
2x+√3y-z=0
D
x-y+√2z=0
Responder
Ver solução e comentários