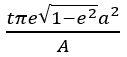
Considere dois corpos gravitacionais que percorrem uma elipse de excentricidade e. O semieixo maior da elipse vale a. Depois de um tempo t, um corpo, em relação ao outro, percorre uma área areolar A. Calcule o período do movimento.
Questão
Simulado EFOMM
2023
VER HISTÓRICO DE RESPOSTAS
Considere-dois-corpos39fb1204a5
A

B

C

D

E
NDA