Questão
Sprint EN/EFOMM
2023
VER HISTÓRICO DE RESPOSTAS
4000097229
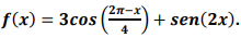
Considere 𝒇: ℝ → ℝ definida por
Sobre f podemos afirmar que:
A
é uma função par.
B
é uma função par com período fundamental 2𝜋.
C
é uma função ímpar com período fundamental 𝜋.
D
é uma função ímpar com período fundamental 8𝜋.
E
não é par e ímpar.
Responder
Ver solução e comentários