Questão
Simulado EPCAR
2023
VER HISTÓRICO DE RESPOSTAS
4000080374
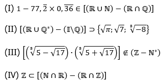
Analise as assertivas a seguir classificando-as em V (verdadeira) ou F (falsa).
A alternativa que apresenta a sequência correta é:
A
FFFF
B
FFVF
C
VFVF
D
VVFV.
Responder
Ver solução e comentários